您当前的位置:首页 > 通知公告

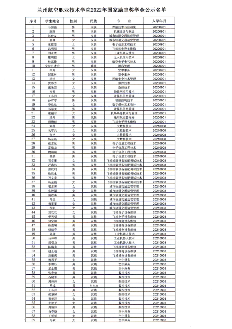
2021-2022 学年度普通高等学校国家励志奖学金获奖学生初审名单表

时间:2022-11-21 15:24:16  来源:学生处  作者:郑泽伟
各院系各班:3s7beat365官方网站
11月上旬以来,按照省教育厅学生资助管理中心的通知,按照相关法定文件,《beat365官方网站国家励志奖学金实施细则》,结合专业特色、专业人数、学风建设等情况,学生处将69个名额进行了分配,其中分配2020级23名,2021级46名。各院系各班经过主题班会,民主推荐,综合测评等环节,初步拟定了人选。经学生处、学生资助中心复核,院长办公会研究审定,拟定王小回、柴瑞春等69名同学为2022年国家励志奖学金人选。公示名单附后。公示期限为5个工作日,如有异议,请师生来电来信反映,受理人:学生处李老师,电话:13099181609,电子信箱:908783775@qq.com,纪检室孙老师,电话:19993183802,电子信箱:476769590@qq.com.电话受访时间:8:30-12:00,14:30—18:00